完成了图形的绘制等相关内容后,现在需要实现通过键盘和鼠标在场景中漫游

摄像机使用

WASD: 代表前/左/后/右平移
鼠标右键: 点往左右移动——左右观望; 点往上下平移——上下点头

图-1

摄像机类的设计

图-2

摄像机旋转——front的y值

图-3

图-4

回顾摄像机矩阵构建

已知方向向量f以及顶部向量t,可知:

图-5

已知方向向量f以及右部向量r,可知:

图-6

添加LookAt函数

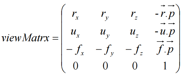
已知ViewMatrix的构成如下:

图-7

LookAt函数可如下设计:

图-8